ParzivalHack/PySpector
GitHub: ParzivalHack/PySpector
基于 Rust 内核的高性能 Python SAST 框架,通过图引擎和污点追踪实现精准漏洞检测。
Stars: 128 | Forks: 24
# 高性能 Python/Rust 基于图的 SAST 框架
[](https://www.securitycert.it/)
[](https://pepy.tech/project/pyspector)
[](https://pepy.tech/projects/pyspector)
[](https://github.com/ParzivalHack/PySpector/releases/tag/v0.1.6-beta)
[](https://pypi.org/project/pyspector/)
[](https://www.python.org/)
[](https://www.rust-lang.org/)
[](https://satori.ci/)
PySpector 是一个最先进的静态分析安全测试 (SAST) 框架,采用 Rust 构建以实现下一代性能,专为现代 Python 项目和大型代码库打造。与传统的 linter 不同,PySpector 利用 **流敏感、过程间污点引擎** 来跟踪跨复杂函数边界和控制流结构的不可信数据。
通过将核心分析引擎编译为原生二进制文件,PySpector 避免了传统纯 Python 工具的性能限制。这使其非常适合对速度和可扩展性有要求的 CI/CD 流水线和本地开发环境。
PySpector 的设计既全面又直观,提供多层分析方法,超越了简单的模式匹配,能够理解 Python 应用程序的结构和数据流。
## 目录
- [快速演示](#quick-demo)
- [入门指南](#getting-started)
- [关键特性](#key-features)
- [核心引擎架构](#core-engine-architecture)
- [工作原理](#how-it-works)
- [性能基准测试](#performance-benchmarks)
- [使用方法](#usage)
- [插件系统](#plugin-system-new-feature)
- [分流与基线管理](#triaging-and-baselining-findings)
- [自动化与集成](#automation-and-integration)
## 快速演示
https://github.com/user-attachments/assets/0fe03961-0b62-4964-83ba-849f2357efba
## 入门指南
### 前置条件
- **Python**: 支持 Python 3.9 – 3.12(Python 3.9 或更高版本,最高至 3.12)。
- **Rust**: 需要 Rust 编译器 (`rustc`) 和 Cargo 包管理器。您可以通过 [rustup](https://rustup.rs/) 轻松安装 **Rust 工具链**,并通过运行 `cargo --version` 验证安装。
### 安装
**强烈建议**在专用的 Python 3.12 venv 中安装 PySpector。
#### 创建虚拟环境:
- **Linux (Bash)**:
# 下载 Python 3.12
python3.12 -m venv venv
source venv/bin/activate
- **Windows (PowerShell)**:
# 从 Microsoft Store 下载 Python 3.12 并运行:
python3.12 -m venv venv
.\venv\Scripts\Activate.ps1
# 或者,取决于 Python 3.12 的安装来源:
.\venv\bin\Activate.ps1
随着 PySpector 现已正式登陆 PyPI🎉,安装变得非常简单,只需运行:
```
pip install pyspector
```
## 关键特性
* **流敏感分析:** 利用控制流图 (CFG) 按顺序跟踪变量状态,准确区分安全代码路径和易受攻击的代码路径。
* **过程间污点跟踪:** 使用全局不动点迭代和函数摘要,跨函数边界传播不可信数据。
* **上下文感知摘要:** 复杂映射哪些函数参数流向返回值,允许通过复杂的实用函数进行高精度跟踪。
* **多引擎混合扫描:**
* **正则引擎:** 高速扫描秘密、硬编码凭证和配置错误。
* **AST 引擎:** 深度结构模式匹配,查找 Python 特有的反模式。
* **图引擎:** 基于 CFG 和调用图的先进数据流分析,用于复杂的漏洞链。
* **市场最快性能:** 核心分析引擎使用 Rust 实现,并利用 `Rayon` 进行多线程并行化(使 PySpector 的扫描速度比 Bandit 快 71%,比 Semgrep 快 16.6 倍)。
* **AI 代理安全:** 专用规则集,旨在识别 LLM 集成 Python 应用程序中的提示注入、不安全工具使用和数据泄露。
## 核心引擎架构
PySpector v0.1.5 代表了从部分静态模式匹配到完整基于图的分析引擎的转变:
1. **AST 解析:** Python 源代码被转换为结构化的 JSON AST,用于语义分析。
2. **调用图构建:** PySpector 构建项目范围的函数定义和调用点映射,以实现跨文件分析。
3. **CFG 生成:** 每个函数被分解为控制流图 (CFG),使引擎能够理解操作顺序和条件 Python 逻辑。
4. **不动点污点传播:** 使用工作列表算法,引擎将“污点”从定义的 **源** 传播到 **汇聚点**,同时遵守沿途清理数据的 **净化器**。
## 工作原理
PySpector 的混合架构是其性能和效率的关键。
* **Python CLI 编排:** 流程始于基于 Python 的 CLI。它处理命令行参数,加载配置和规则,并准备要分析的目标文件。对于每个 Python 文件,它使用原生 ast 模块生成抽象语法树,然后将其序列化为 JSON。
* **调用 Rust 核心:** 序列化的 AST 以及规则集和配置被传递给编译后的 Rust 核心。从 Python 到 Rust 的交接由 pyo3 库管理。
* **Rust 中的并行分析:** Rust 引擎接管并执行繁重的工作。它利用 rayon crate 并行执行文件扫描和分析,最大限度地利用可用的 CPU 核心。它构建应用程序的完整调用图以理解文件间函数调用,这对污点分析模块至关重要。
* **结果与报告:** 分析完成后,Rust 核心将结构化的发现列表返回给 Python CLI。然后,Python 包装器处理最后步骤,根据严重性阈值和基线文件过滤结果,并以用户指定的格式生成报告。
这种架构结合了两全其美:Python 中灵活、用户友好的界面,以及 Rust 中高性能、内存安全的分析引擎 :)
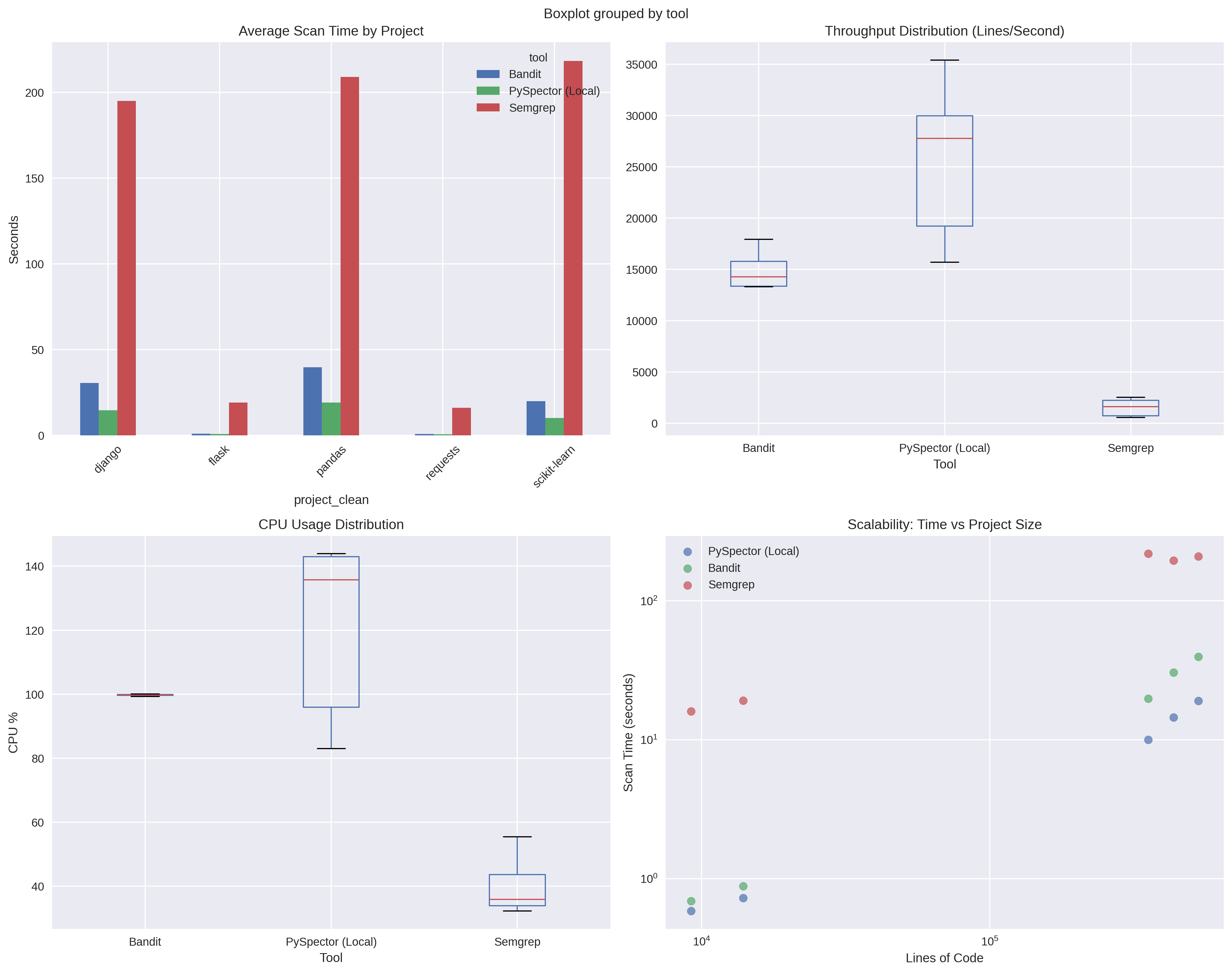
## 性能基准测试
性能基准测试展示了 PySpector 在 SAST 扫描速度方面的竞争优势,同时保持了全面的安全分析。
### 基准测试结果
#### 跨主要 Python 代码库(Django, Flask, Pandas, Scikit-learn, Requests)的对比分析显示:
| 指标 | PySpector | Bandit | Semgrep |
|--------|-----------|---------|---------|
| **吞吐量** | 25,607 行/秒 | 14,927 行/秒 | 1,538 行/秒 |
| **性能优势** | 比 Bandit **快 71%** | 基准 | 慢 16.6 倍 |
| **内存使用** | 平均 1.4 GB | 平均 111 MB | 平均 277 MB |
| **CPU 利用率** | 120% (多核) | 100% (单核) | 40% |
### 关键性能特征
- **速度**: 通过 Rust 驱动的并行分析,比传统工具提供快 71% 的扫描速度
- **可扩展性**: 在大型代码库(50 万行以上代码)上保持高吞吐量
- **资源概况**: 针对具有足够内存分配的现代多核环境进行了优化
- **一致性**: 在不同项目类型和规模下保持稳定的性能
### 最佳性能的系统要求
- **最低**: 2 个 CPU 核心,2 GB RAM
- **推荐**: 4+ 个 CPU 核心,4+ GB RAM(用于大型代码库)
- **存储**: 建议使用 SSD 进行大型仓库扫描
### 基准测试方法
性能测试在以下环境进行:
- **测试环境**: 基于 Debian 的 Linux VM(2 核心,4GB RAM)
- **测试项目**: 5 个主要 Python 仓库(1.3k-53万行代码)
- **测量**: 多次运行的平均值,包含 CPU 稳定期
- **比较**: 使用相同配置与 Bandit 和 Semgrep 进行正面比较
*基准数据可在项目仓库中获取,以确保透明度和可重复性。*
## 使用方法
PySpector 通过简单的命令行界面进行操作。
### 运行扫描
主要命令是 `scan`,它可以针对本地文件、目录,甚至远程 Git 仓库。
```
pyspector scan [PATH or --url REPO_URL] [OPTIONS]
```
### 示例:
* **扫描单个文件**
```
pyspector scan /path/to/your/project
```
* **扫描本地目录并将报告保存为 HTML:**
```
pyspector scan /path/to/your/project -o report.html -f html
```
* **扫描公共 GitHub 仓库:**
```
pyspector scan --url https://github.com/username/repo.git
```
### 面向初学者的向导模式 (新功能🚀)
* **使用 `--wizard` 标志进入引导扫描模式,非常适合首次用户、初学者或学生:**
```
pyspector scan --wizard
```
### 扫描 AI 和 LLM 漏洞
* **使用 `--ai` 标志为使用大语言模型的项目启用专用规则集:**
```
pyspector scan /path/to/your/project --ai
```
### 扫描依赖项中的供应链 CVE
* **使用 `--supply-chain` 标志检查您的项目依赖项是否存在已知 CVE:**
```
pyspector scan /path/to/your/project --supply-chain
```
## 插件系统
PySpector ships with an extensible plugin architecture that lets you post-process findings, generate custom artefacts, or orchestrate follow-up actions after every scan. Plugins run in-process once the Rust core returns the final issue list, so they see exactly the same normalized data that drives the built-in reports.
### 生命周期概述
1. **发现** - 插件文件位于仓库的 `plugins` 目录(`PySpector/plugins`)中,并被自动发现。
2. **注册** - 受信任的插件与其校验和和元数据一起记录在 `PySpector/plugins/plugin_registry.json` 中。
3. **验证** - 在执行之前,PySpector 会验证插件配置,静态检查源代码中是否存在危险的 API,并检查磁盘上的校验和。
4. **执行** - 插件被初始化,接收完整的发现列表,并可以发出额外的文件或数据。最后总会调用 `cleanup()`。
### 从 CLI 管理插件
CLI 提供了用于维护本地目录的辅助命令:
```
pyspector plugin list # Show discovered plugins, trust status, version, author
pyspector plugin trust plugin_name # Validate, checksum, and mark a plugin as trusted
pyspector plugin info plugin_name # Display stored metadata and checksum verification
pyspector plugin install path/to/plugin.py --trust
pyspector plugin remove legacy_plugin
```
只有受信任的插件才会自动执行。当您信任一个插件时,PySpector 会计算其 SHA256 校验和,并存储该插件通过 `PluginMetadata` 声明的版本、作者和描述。如果文件后来被修改,您将在它再次运行之前收到警告。要信任插件:
```
pyspector plugin install ./PySpector/plugins/aipocgen.py --trust
```
### 在扫描期间运行插件
在 `pyspector scan` 期间使用一个或多个 `--plugin` 标志,如果插件需要自定义设置,请提供 JSON 配置文件:
```
pyspector scan vulnerableapp.py --plugin aipocgen --plugin-config ./PySpector/pluginconfig/aipocgen.json
```
配置文件必须是一个 JSON 对象,其键与插件名称匹配,例如:
```
{
"aipocgen": {
"api_key": "YOUR-GROQ-KEY",
"model": "llama-3.3-70b",
"severity_filter": ["HIGH", "CRITICAL"],
"max_pocs": 5,
"output_dir": "pocs",
"dry_run": false
}
}
```
每个插件仅接收其自己的配置块。结果将打印在 CLI 中,并且在 `output_files` 列表中返回的任何路径都会显示在“Generated files”下。
### 编写插件
在 `~/.pyspector/plugins/
PySpector 包含一个交互式分流模式,以帮助管理和建立发现基线。这允许您审查问题并将其标记为“忽略”,以便它们不会出现在未来的扫描中。
* **生成 JSON 报告:**
```
pyspector scan /path/to/your/project -o report.json -f json
```
* **启动分流 TUI:**
```
pyspector triage report.json
```
在 TUI 内部,您可以使用箭头键导航,按 i 切换问题的“忽略”状态,按 s 将您的更改保存到 .pyspector_baseline.json 文件。该基线文件将在后续扫描中自动加载。
## 自动化与集成
PySpector 包含 Shell 辅助脚本,可将安全扫描直接集成到您的开发和运营工作流程中。
### Git Pre-Commit 钩子
为了确保不会将新的高严重性问题引入代码库,您可以设置一个 Git pre-commit hook。此 hook 将在每次提交之前自动扫描暂存的 Python 文件,如果发现任何 HIGH 或 CRITICAL 问题,则阻止提交。
**要设置 hook,请从 Git 仓库的根目录运行以下脚本:**
```
./scripts/setup_hooks.sh
```
此脚本创建一个可执行的 .git/hooks/pre-commit 文件来执行检查。您可以通过在 git commit 命令中使用 --no-verify 标志来绕过特定提交的 hook。
## 使用 Cron 进行定时扫描
为了进行持续监控,您可以使用 cron 作业安排项目的定期扫描。PySpector 提供了一个交互式脚本来帮助您生成正确的 crontab 条目。
**要生成您的 cron 作业命令,请运行:**
```
./scripts/setup_cron.sh
```
该脚本将提示您输入项目路径、所需的扫描频率(每日、每周、每月)以及存储 JSON 报告的位置。然后它将输出要添加到 crontab 的命令,从而自动化您的安全扫描和报告过程。标签:CI/CD安全, DevSecOps, DNS 反向解析, Llama, Python, Rust, SAST, XSS注入, 上游代理, 代码安全, 可视化界面, 图分析, 安全专业人员, 安全测试, 开发安全, 攻击性安全, 无后门, 漏洞枚举, 盲注攻击, 结构化查询, 网络流量审计, 自动化payload嵌入, 自动化安全, 调试插件, 逆向工具, 错误基检测, 静态代码分析