Soildworks/AI-Native-Cleaner
GitHub: Soildworks/AI-Native-Cleaner
一个基于 AI Agent 思维构建的自动化数据治理工具,用于智能识别异常值、处理缺失值和统一日期格式。
Stars: 0 | Forks: 0
# 数据清洗项目
## Project Overview
这是一个基于 AI Agent 思维构建的自动化数据治理系统,用于智能处理和清洗数据。
## Key Features
- **异常值拦截**:利用 3σ 原则进行统计学层面的异常值识别和处理
- **数据清洗**:多格式日期解析与缺失值智能填充
- **可视化分析**:AI 辅助生成的自动化对比分析看板
## Quick Start
### 安装依赖
pip install pandas numpy matplotlib
### 运行方法
在命令行中执行:
python clean.py
或直接双击 `run.bat` 文件一键运行。
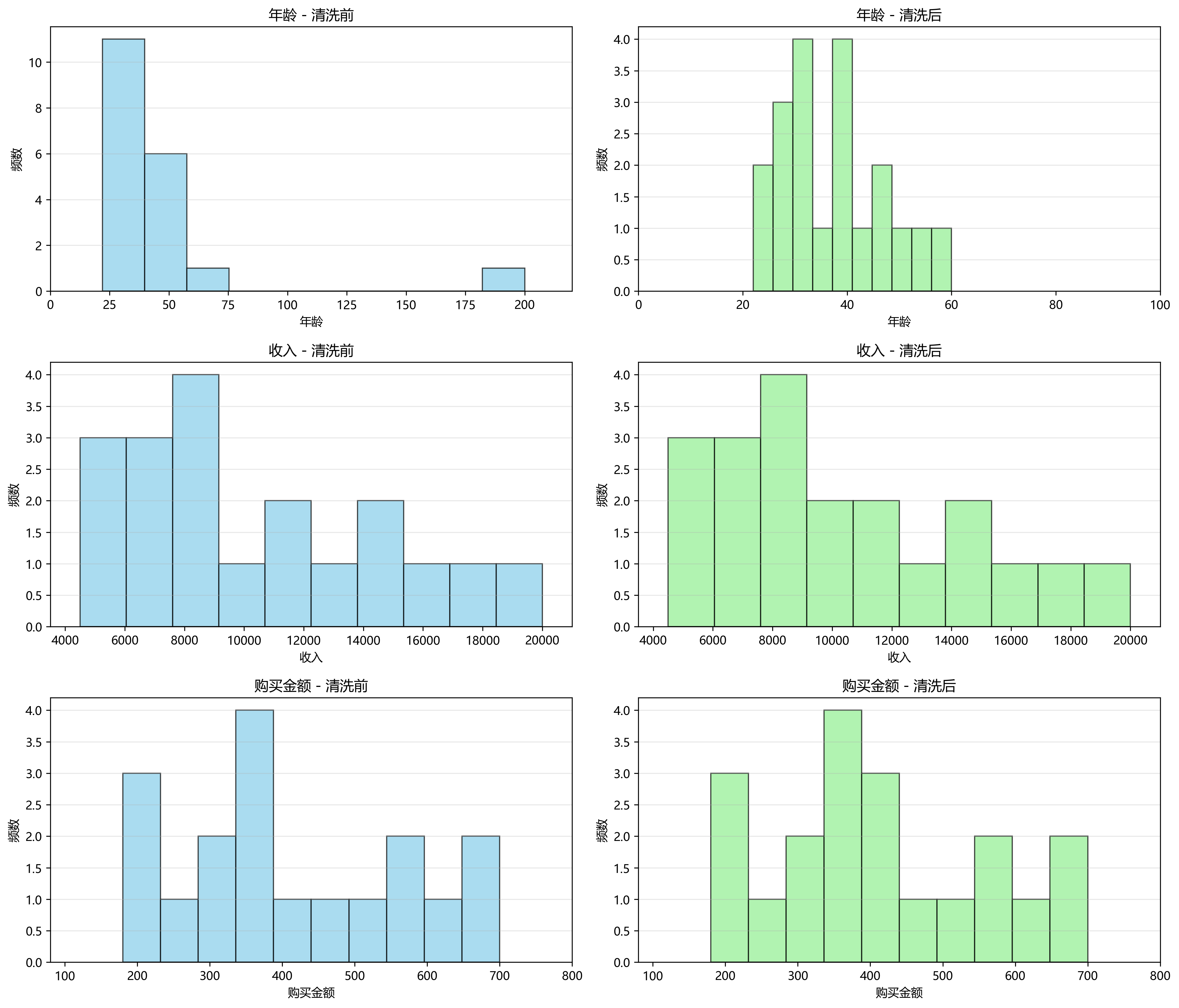
## Screenshots
### 清洗前后对比直方图

## 项目文件
- `clean.py` - 核心数据清洗脚本
- `dirty_data.csv` - 包含脏数据的原始文件
- `final_data.csv` - 清洗后的结果文件
- `comparison_histogram.png` - 清洗前后的对比直方图
- `run.bat` - 一键运行脚本
## 数据说明
- `dirty_data.csv` 包含以下字段:
- 姓名:用户姓名
- 年龄:可能包含缺失值和异常值(如200岁)
- 收入:可能包含缺失值
- 购买日期:可能包含不同格式的日期
- 购买金额:可能包含缺失值
## 清洗效果
- 缺失值会被相应列的均值填充
- 年龄超过120岁的异常值会被识别并处理
- 其他数值列的异常值使用IQR方法识别和处理
- 不同格式的日期会被统一为标准格式
- 生成的对比直方图直观展示了清洗前后的数据分布变化
标签:3-Sigma异常检测, ETL, JavaCC, Python, Trae AI, 可视化报表, 多格式日期解析, 数据异常处理, 数据治理, 数据清洗, 数据科学, 数据质量, 数据预处理, 无后门, 智能填充, 直方图, 统计分析, 自动化流水线, 资源验证, 逆向工具