权方和不等式及其特殊形式在三角形中的应用
作者:I'm hh | 发布时间:
权方和不等式是一个数学中重要的不等式。其证明需要用到赫尔德不等式(Holder),可用于放缩的方法求最值(极值)、证明不等式等
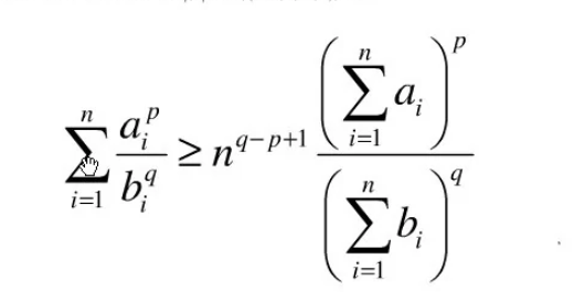
- n元形式
已知a,b,p,q为实数,且a,b>0,p≥q+1,则有:
当p=2,q=1时,就变成了比较常用的形式
- 常用形式
已知a,b为实数,且a,b>0
则:
当 且仅当 时,等号成立
而当n=2时,就产生了最一般最特殊形式
- 最一般最特殊形式
已知a,b,c,d为实数,且a,b,c,d>0
则:
以上就是权方和不等式的n元形式以及常见的两种形式,其他特殊形式,可以通过取p,q为特殊数值来得出,如果感兴趣可以自己探索,下面我们举出一道例题来验证权方和不等式在三角形中的应用
- 问题

如图,▲ABC是任意三角形,作BD⊥AC,DE⊥BC,DF⊥AB,求证:
- 证明
由反勾股定理,我们有:
于是,我们利用权方和不等式,得到:

所以,我们得到
即
相加,即得到
而
因此得到
得证